Ox Standard Packages Reference
Chapter contents:
Arma package
The Arma package implements functions which are commonly
used in autoregressive-moving average models.
The Arma package requires the header file arma.h.
Note that the Arma package uses the convention of writing the AR and MA
coefficients on the right-hand side with a positive sign.
arma0
#include <arma.h>
arma0(const ma, const vp, const cp, const cq);
-
- ma
- in: T x n matrix A
- vp
- in: 1 x s matrix with AR coefficients \phi1,
\phi2, ..., \phip followed by
MA coefficients \theta1, \theta2, ..., \thetaq,
s >= p+q
- cp
- in: int, no of AR coefficients (could be 0)
- cq
- in: int, no of MA coefficients (could be 0)
- Return value
- Returns the residual from applying the ARMA(p,q) filter
to each column of A. The result has the same dimensions as ma.
The first p rows of the return value will be zero.
For example when p = 1 and q = 2:
- e0 = 0,
- e1 = a1 - \phi1 a0 - \theta1 e0,
- e2 = a2 - \phi1 a1 - \theta1 e1 - \theta 1 e0, etc.
- See also
-
armagen, armaforc,
armavar,
diff0,
diffpow,
pacf
armaforc
#include <arma.h>
armaforc(const mx, const vp, const cp, const cq);
armaforc(const mx, const vp, const cp, const cq,
const ma);
armaforc(const mx, const vp, const cp, const cq,
const ma, const me);
-
- mx
- in: H x n or H x 1 matrix X, fixed part of forecasts
- vp
- in: 1 x s matrix with AR coefficients \phi1,
\phi2, ..., \phip followed by
MA coefficients \theta1, \theta2, ..., \thetaq,
s >= p+q
- cp
- in: int, no of AR coefficients (could be 0)
- cq
- in: int, no of MA coefficients (could be 0)
- ma
- in: (optional argument) T x n matrix A,
pre-forecast data values (default is zero)
- me
- in: (optional argument) T x n matrix E,
pre-forecast residual values (default is zero)
- Return value
-
Returns the forecasts from an ARMA(p,q) model as
an H x n matrix. The same model is applied to each column
of mx.
For example when p = 2 and q = 2:
- ahat0 = x0 + \phi1 aT-1
+ \phi2 aT-2
+ \theta1 eT-1
+ \theta2 eT-2,
- ahat1 = x1 + \phi1 ahat0
+ \phi2 aT-1
+ \theta2 eT-1,
- ahat2 = x2 + \phi1 ahat1
+ \phi2 ahat0, etc.
- See also
- arma0, armavar,
cumulate,
modelforc
armagen
#include <arma.h>
armagen(const mx, const me, const vp, const cp, const cq);
-
- mx
- in: T x n or T x 1 matrix of known components X
- me
- in: T x n matrix of errors E
- vp
- in: 1 x s matrix with AR coefficients \phi1,
\phi2, ..., \phip followed by
MA coefficients \theta1, \theta2, ..., \thetaq,
s >= p+q
- cp
- in: int, no of AR coefficients (could be 0)
- cq
- in: int, no of MA coefficients (could be 0)
- Return value
-
Generates a an ARMA(p,q) series from
an error term (me) and a mean term (mx)
The result has the same dimensions as mx.
The first p
rows of the return value will be identical to those of mx; the
recursion will be applied from the pth term onward (missing
lagged errors are set to zero).
For example when p = 1 and q = 2:
- a0 = x0,
- a1 = x1 + \phi1 a0 +
e1 + \theta1 e0,
- a2 = x2 + \phi1 a1 +
e2 + \theta1 e1 + \theta2 e0, etc.
- See also
- arma0, armaforc, armavar,
cumsum, cumulate
armavar
#include <arma.h>
armavar(const vp, const cp, const cq, const dvar,
const ct);
-
- vp
- in: 1 x s matrix with AR coefficients \phi1,
\phi2, ..., \phip followed by
MA coefficients \theta1, \theta2, ..., \thetaq,
s >= p+q
- cp
- in: int, no of AR coefficients (could be 0)
- cq
- in: int, no of MA coefficients (could be 0)
- dvar
- in: double, variance of disturbance, \sigma2 \epsilon.
- ct
- in: int, number of autocovariance terms required, T
- Return value
- Returns a 1 x T matrix with the autocovariances of
the ARMA(p,q) process. Or 0 if the computations
failed (e.g. when all AR coefficients are zero).
- See also
- arma0, pacf
diffpow
#include <arma.h>
diffpow(const ma, const d);
-
- ma
- in: T x n matrix A
- d
- in: double, length of difference d, |d| <= 10000
- Return value
- Returns a T x n matrix with (1-L)dA.
The result has the same dimensions as ma.
- See also
- arma0, diff0
modelforc
#include <arma.h>
modelforc(const mU, const mData, const miDep,
const miSel, const miLag, const mPi, const iTmin);
-
- mU
- in: 0 or (T-T0) x n
matrix with error terms
- mData
- in: T x d matrix, the database
- miDep
- in: 1 x n matrix with database indices
of dependent variables
- miSel
- in: 1 x k matrix with database indices
of explanatory variables
- miLag
- in: 1 x k matrix with lag lengths
of explanatory variables
- miPi
- in: n x k matrix with coefficients
- iTmin
- in: int, first forecast observation (may be 0)
- Return value
-
Returns the dynamic forecasts from a linear dynamic model as a
(T-T0) x n matrix.
- See also
- armaforc
cumulate
pacf
#include <arma.h>
pacf(const macf);
pacf(const macf, const alogdet);
pacf(const macf, const alogdet, const my);
pacf(const macf, const meps);
-
- macf
- in: arithmetic type, T x 1 matrix of autocovariances
or autocorrelations
- alogdet
- in: (optional argument) address of variable
- out: the determinant of the filter
- my
- in: (optional argument) T x n data matrix
to apply filter to
- meps
- in: (optional argument) T x n data matrix
to apply inverse filter to
- Return value
-
- pacf(macf);
- pacf(macf, alogdet);
Returns a T x 1 matrix with the partial autocorrelation
function of the columns of macf.
- pacf(macf, alogdet, my);
Returns a T x (n+1) matrix with the residuals from the
filter based on the specified ACF applied to the columns of my.
The last column contains the standard devations of the filter.
- pacf(macf, meps);
Returns a T x n matrix with the generated data from the
inverse filter based on the specified ACF applied to the columns of meps.
-
Returns 0 if the computations
fail (the stochastic process has a root on the unit circle).
- See also
- acf, arma0,
armavar,
solvetoeplitz
Maximization package
Maximization control
CMaxControl Class
- CMaxControl(const iOptions=0);
- Constructor. Only possible option is CMaxControl::PARALLEL_SCORE.
- GetControl();
- returns { mxIter, iPrint, bCompact }.
- GetEps();
- returns { dEps1, dEps2 }.
- GetIterationCount();
- returns the iteration count.
- GetResult();
- returns the convergence code.
- SetControl(const mxIter, const iPrint=-1, const bCompact=-1);
- See MaxControl.
- SetEps(const dEps1, const dEps2=-1);
- See GetMaxControl.
- SetIterationCount(const cIter);
- Sets the iteration count.
- SetOptions(const iOptions);
- Only possible option is CMaxControl::PARALLEL_SCORE.
- SetResult(const iResult);
- Sets the convergence code.
The CMaxControl class manages the configurable maximization options
in a more convenient way. The added flexibility is
that parallel numerical scores can be used, and the number of iterations retrieved
upon convergence.
GetMaxControl,
GetMaxControlEps
#import <maximize>
GetMaxControl();
GetMaxControlEps();
- Return value
-
Return an array with three values and two values respectively.
GetMaxControl returns { mxIter, iPrint, bCompact }.
GetMaxControlEps returns { dEps1, dEps2 }.
- See also
- MaxControl, MaxControlEps
MaxConvergenceMsg
#import <maximize>
MaxConvergenceMsg(const iCode);
-
- iCode
- in: int, code returned by MaxBFGS or MaxSimplex
- Return value
- Returns the text corresponding to the convergence code listed under
the return values of MaxBFGS.
- See also
- MaxBFGS,
MaxNewton,
MaxSimplex,
MaxSQP,
MaxSQPF
MaxControl,
MaxControlEps
#import <maximize>
MaxControl(const mxIter, const iPrint);
MaxControl(const mxIter, const iPrint, const bCompact);
MaxControlEps(const dEps1, const dEps2);
-
- mxIter
- in: int, maximum number of iterations; default is 1000, use -1 to leave
the current value unchanged
- iPrint
- in: int, print results every iPrint'th iteration; default is 0, use
-1 to leave the current value unchanged
- bCompact
- in: int, if TRUE uses compact format for iteration results (optional argument)
- dEps1
- in: double, eps1, default is 1e-4, use ≤ 0 to leave the current value unchanged
- dEps2
- in: double, eps2, default is 5e-3, use ≤ 0 to leave the current value unchanged
- Return value
- No return value.
- See also
-
GetMaxControl,
GetMaxControlEps,
MaxNewton,
MaxSimplex,
MaxSQP,
MaxSQPF
Maximization functions
FindZero
#import <maxscalar>
FindZero(const Func, const dX, dStep, const dTol, const mxIter);
-
- Func
- in: a function of one argument returns the function value
- Func
- in: function to find root of: Func(x) returns the function value
- dX
- in: double, center of initial bracket
- dStep
- in: double, determines bracket [dX + 2^i * dStep,dX + 2^i * dStep] with sign change (default 0.1)
- dTol
- in: convergence tolerance (default 1e-13)
- mxIter
- in: int, maximum no of iterations (default 1000)
- Return value
Returns the root using the
Brent (1973) algorithm to find root of a function of one variable without using derivatives.
-
- Examples
-
See ox/samples/maximize/test_maxscalar.ox.
MaxBFGS
#import <maximize>
MaxBFGS(const func, const avP, const adFunc, const amInvHess, const fNumDer);
MaxBFGS(const func, const avP, const adFunc, const amInvHess, const fNumDer, const objMaxCtrl);
-
- func
- in: a function computing the function value, optionally with derivatives
- avP
- in: address of p x 1 matrix with starting values
- out: p x 1 matrix with final coefficients
- adFunc
- in: address
- out: double, final function value
- amInvHess
- in: 0 or address of p x p matrix,
initial (inverse negative) quasi-Hessian K;
a possible starting value is the identity matrix (which is used
when 0 is used as argument);
- out: if not 0 on input: final K (not reliable as estimate of actual Hessian)
- fNumDer
- in: 0: func provides analytical first derivatives
1: use numerical first derivatives
- objMaxCtrl
- in: CMaxControl object (optional argument)
- out: updated to reflect status and iteration count.
-
The supplied func
argument should have the following format:
func(const vP, const adFunc, const avScore, const amHessian);
-
- vP
- in: p x 1 matrix with coefficients
- adFunc
- in: address
- out: double, function value at vP
- avScore
- in: 0, or an address
- out: if !0 on input: p x 1 matrix with first derivatives
at vP
- amHessian
- in: always 0 for MaxBFGS, as it does not need the Hessian;
- returns
- 1: successful, 0: function evaluation failed
- Return value
- Returns the status of the iterative process:
- MAX_CONV
- Strong convergence Both convergence tests
were passed, using tolerance eps = eps1.
- MAX_WEAK_CONV
- Weak convergence (no improvement in line search) The step length
si has become too small. The convergence test
) was passed, using tolerance eps = eps2.
- MAX_MAXIT
- No convergence (maximum no of iterations reached)
- MAX_LINE_FAIL
- No convergence (no improvement in line search) The step length
si has become too small. The convergence test
was not passed, using tolerance eps = eps2.
- MAX_FUNC_FAIL
- No convergence (function evaluation failed)
- MAX_NOCONV
- No convergence Probably not yet attempted to maximize.
The chosen default values for the tolerances are:
eps1=1e-4, eps2=5e-3.
- See also
- MaxControl, CMaxControl,
MaxConvergenceMsg, Num1Derivative,
Num2Derivative
- Examples
-
See ox/samples/maximize/.
MaxNewton
#import <maximize>
MaxNewton(const func, const avP, const adFunc, const amHessian, const fNumDer);
MaxNewton(const func, const avP, const adFunc, const amHessian, const fNumDer, const objMaxCtrl);
-
- func
- in: a function computing the function value, optionally with derivatives
- avP
- in: address of p x 1 matrix with starting values
- out: p x 1 matrix with final coefficients
- adFunc
- in: address
- out: double, final function value
- amHessian
- in: 0 or address
- out: if not 0 on input: final Hessian matrix H
- fNumDer
- in: 0: func provides analytical second derivatives
1: use numerical second derivatives
- objMaxCtrl
- in: CMaxControl object (optional argument)
- out: updated to reflect status and iteration count.
-
The supplied func
argument should have the following format:
func(const vP, const adFunc, const avScore, const amHessian);
-
- vP
- in: p x 1 matrix with coefficients
- adFunc
- in: address
- out: double, function value at vP
- avScore
- in: 0, or an address
- out: if !0 on input: p x 1 matrix with first derivatives
at vP
- amHessian
- in: 0, or an address
- out: if !0 on input: p x p Hessian matrix
at vP
- returns
- 1: successful, 0: function evaluation failed
- Return value
See MaxBFGS.
- See also
- MaxBFGS, GetMaxControl,
CMaxControl,
MaxConvergenceMsg, Num1Derivative,
Num2Derivative
- Examples
-
See ox/samples/maximize/.
MaxScalarBrent
MaxScalarPowell
#import <maxscalar>
MaxScalarBrent(const Func, const dP0, const dP1, dF0, dF1,
const dA, const dB, const dTol, const mxIter)
MaxScalarPowell(const Func, const dP0, const dP1, dF0, dF1,
const dA, const dB, const dTol, const mxIter)
-
- Func
- in: a function of one argument returns the function value
- Func
- in: function to find root of: Func(x) returns the function value
- dP0
- in: double, first starting value
- dP1
- in: double, second starting value
- dF0
- in: double, function value at dP0 (default .NaN to force evaluation)
- dF1
- in: double, function value at dP1 (default .NaN to force evaluation)
- dA,dB
- in: doubles, defining interval to maximize over (default -100,100). Must have dP0,dP1 in (dA,dB), but this is not checked!
- dTol
- in: convergence tolerance (default 1e-7)
- mxIter
- in: int, maximum no of iterations (default 1000)
- Return value
-
Returns an array with four elements:
{argument at maximum, function value at maximum, no of function calls, no of iterations}.
- Examples
-
See ox/samples/maximize/test_maxscalar.ox.
MaxSimplex
#import <maximize>
MaxSimplex(const func, const avP, const adFunc, vDelta);
MaxSimplex(const func, const avP, const adFunc, vDelta, const objMaxCtrl);
-
- func
- in: a function computing the function value
- avP
- in: address of p x 1 matrix with starting values
- out: p x 1 matrix with coefficients at convergence
- adFunc
- in: address
- out: double, function value at convergence
- vDelta
- in: 0, or a p x 1 matrix with the initial simplex
(if 0 is specified, the score is used for the initial simplex)
- objMaxCtrl
- in: CMaxControl object (optional argument)
- out: updated to reflect status and iteration count.
The supplied func argument should have the same format as in
MaxBFGS.
- Return value
- Returns the status of the iterative process, as documented under MaxBFGS.
MaxSQP,
MaxSQPF
#import <maxsqp>
MaxSQP(const func, const avP, const adFunc, const amHessian,
const fNumDer, const cfunc_gt0, const cfunc_eq0, vLo, vHi);
MaxSQP(const func, const avP, const adFunc, const amHessian,
const fNumDer, const cfunc_gt0, const cfunc_eq0, vLo, vHi,
const cfunc_gt0_jac, const cfunc_eq0_jac, ...);
MaxSQPF(const func, const avP, const adFunc, const amHessian,
const fNumDer, const cfunc_gt0, const cfunc_eq0, vLo, vHi);
MaxSQPF(const func, const avP, const adFunc, const amHessian,
const fNumDer, const cfunc_gt0, const cfunc_eq0, vLo, vHi,
const cfunc_gt0_jac, const cfunc_eq0_jac, ...);
-
- func
- in: a function computing the function value, optionally with derivatives
- avP
- in: address of p x 1 matrix with starting values
- out: p x 1 matrix with final coefficients
- adFunc
- in: address
- out: double, final function value
- amHessian
- in: 0 or address
- out: if not 0 on input: final Hessian approximation matrix B
- fNumDer
- in: 0: func provides analytical first derivatives
1: use numerical first derivatives
- vLo
- in: p x 1 matrix with lower bounds, or <> if
there are no lower bounds
- vHi
- in: p x 1 matrix with upper bounds, or <> if
there are no lower bounds
-
The supplied func argument should have the same format as in
MaxBFGS.
-
The cfunc_gt0 argument can be zero, or a function
evaluating the nonlinear constraints (which will be
constrained to be positive) with the following format:
cfunc_gt0(const avF, const vP);
-
- avF
- in: address
- out: m x 1 matrix with constraints at vP
- vP
- in: p x 1 matrix with coefficients
- returns
- 1: successful, 0: constraint evaluation failed
-
The cfunc_eq0 argument can be zero, or a function
evaluating the nonlinear constraints (which will be
constrained to zero) with the following format:
cfunc_eq0(const avF, const vP);
-
- avF
- in: address
- out: me x 1 matrix with equality constraints at vP
- vP
- in: p x 1 matrix with coefficients
- returns
- 1: successful, 0: constraint evaluation failed
-
The cfunc_gt0_jac and cfunc_eq0_jac
are optional functions that return the analytical Jacobian matrix
of the constraints. They have the same
format, returning in avF an m x p
and an me x p matrix
respectively.
- Return value
-
See MaxBFGS.
- Description
-
MaxSQP implements
a sequential quadratic programming technique to maximize
a non-linear function subject to non-linear constraints,
similar to Algorithm 18.7 in
Nocedal and Wright (1999, Numerical Optimization).
MaxSQPF enforces all iterates to be feasible, using
the Algorithm by Lawrence and Tits (2001, SIAM J. Optim.).
The current version does not support equality constraints.
If a starting point is infeasible, MaxSQPF will try to
minimize the squared constraint violations to find a feasible
point.
- See also
- MaxBFGS, GetMaxControl,
MaxConvergenceMsg, Num1Derivative,
Num2Derivative
- Examples
-
See ox/samples/maximize/.
Num1Derivative, Num1Derivative_parallel
Num2Derivative, Num2Derivative_parallel
#import <maximize>
Num1Derivative(const func, vP, const avScore);
Num1Derivative_parallel(const func, vP, const avScore);
Num2Derivative(const func, vP, const amHessian);
Num2Derivative_parallel(const func, vP, const amHessian);
-
- func
- in: a function computing the function value, optionally with derivatives
- vP
- in: p x 1 matrix with parameter values
- mHessian
- in: p x p matrix, initial Hessian
- avScore
- in: an address
- out: p x 1 matrix with 1st derivatives at vP
- amHessian
- in: an address
- out: p x p matrix with 2nd derivatives at vP
The supplied func argument should have the format as documented
under MaxBFGS.
- Return value
- Returns 1 if successful, 0 otherwise.
- See also
- MaxBFGS
- Examples
-
See ox/samples/maximize/numder.ox.
NumJacobian
#import <maximize>
NumJacobian(const func, vU, const amJacobian);
-
- func
- in: function mapping from restricted to unrestricted parameters
- vU
- in: of u x 1 matrix with parameters
- amJacobian
- in: address
- out: r x u Jacobian matrix corresponding to
mapping
-
The supplied func argument should have the following format:
func(const avR, const vU);
- avR
- in: address
- out: r x 1 matrix with restricted coefficients
- vU
- in: u x 1 matrix with unrestricted coefficients
- returns
- 1: successful, 0: function evaluation failed
- Return value
- Returns 1 if successful, 0 otherwise.
- See also
- Num1Derivative
- Examples
-
See ox/samples/maximize/jacobian.ox.
SolveNLE
#import <solvenle>
SolveNLE(const func, const avX);
SolveNLE(const func, const avX, iMode, funcJac, dEps1, dEps2,
mxIter, iPrint, mxItInner);
-
- func
- in: Ox function evaluating the nonlinear equations (see below)
- avX
- in: address of n x 1 matrix with starting values
- out: n x 1 matrix with final coefficients
- iMode
- in: int, mode of operation:
| -1 (default) | mode 1 if n < 80, else mode 3 |
| 0 | tensor-Newton method using analytical Jacobian |
| 1 | tensor-Newton method using numerical Jacobian |
| 2 | tensor method using Broyden's approximation to Jacobian |
| 3 | large scale problem (tensor-gmres-Newton method, avoiding nxn Jacobian matrix) |
- dEps1
- in: double, eps1, default is 1e-4, use ≤ 0 to leave the current value unchanged (can also be set with MaxControlEps)
- dEps2
- in: double, eps2, default is 5e-3, use ≤ 0 to leave the current value unchanged (can also be set with MaxControlEps)
- mxIter
- in: int, maximum number of iterations; default is 1000, use -1 to leave
the current value unchanged (can also be set with MaxControls)
- iPrint
- in: int, print results every iPrint'th iteration; default is 0, use
-1 to leave the current value unchanged (can also be set with MaxControls)
- mxItInner
- in: int, number of inner iterations for large scale problems, default is
max(50, 10 * log10(n))
-
The supplied func argument should have the following format:
func(const avF, const vX)
-
- avF
- in: address
- out: n x 1 matrix with nonlinear system f(x) evaluated at x
- vX
- in: n x 1 matrix with x values
- returns
- 1: successful, 0: function evaluation failed
-
When the analytical Jacobian is used, the funcJac argument should have the following format:
funcJac(const amJac, const vX)
-
- amJac
- in: address
- out: n x n matrix with Jacobian matrix evaluated at vX
- vX
- in: n x 1 matrix with X values
unrestricted coefficients returns
1: successful, 0: function evaluation failed
- returns
- 1: successful, 0: function evaluation failed
- Return value
- Returns the status of the iterative process:
- MAX_CONV
- Strong convergence norm(f(x)) < 0.001eps1.
- MAX_WEAK_CONV
- Weak convergence (no improvement in line search) The step length
has become too small and
norm(f(x)) < eps2.
- MAX_MAXIT
- No convergence (maximum no of iterations reached)
- MAX_LINE_FAIL
- No convergence (no improvement in line search) The step length
has become too small and weak convergence was not achieved.
- MAX_FUNC_FAIL
- No convergence (function evaluation failed)
- MAX_NOCONV
- No convergence Probably not yet attempted to solve the system.
- Description
- Solves a system f(x) of n nonlinear equations in n
unknowns.
- See also
-
MaxControls,
MaxControlsEps
- Examples
-
See ox/samples/maximize/solvenle1.ox and
ox/samples/maximize/solvenle2.ox.
SolveQP
#import <solveqp>
SolveQP(const mG, const vG, const mA, const vB, const mC,
const vD, const vLo, const vHi);
SolveQPE(const mG, const vG, const mC, const vD);
SolveQPS(const sFile, const iVerbose)
SolveQPS(const sFile, const iVerbose, const fnSolveQP)
-
- mG
- in: n x n symmetric matrix G with quadratic weights, or
n x 1 vector with diagonal of G
- vG
- in: n x 1 vector g with linear weights
- mA
- in: m x n matrix A with linear inequality constraints Ax>=b (may be empty)
- vB
- in: m x 1 vector b with right-hand side for linear inequality constraints (empty if A is empty)
- mC
- in: me x n matrix C with linear equality constraints cx=d (may be empty)
- vD
- in: me x 1 vector d with right-hand side for linear equality constraints (empty if C is empty)
- vLo
- in: n x 1 vector with lower bounds (may be empty)
- vHi
- in: n x 1 vector with upper bounds (may be empty)
- sFile
- in: string with .qps file name
- iVerbose
- in: int, 0 for no output, 1 for one line summary output, 2 to print all matrices and results.
- fnSolveQP
- in: (optional argument) QP solver with call syntax as SolveQP.
If absent SolveQP is used.
- Return value
- SolveQP returns an array with three elements:
- [0] integer return value:
0: success
1: infeasible constraints
2: maximum number of iterations reached
3: Choleski decomposition failed
- [1] n x 1 vector with solution x
- [2] m* x 1 vector with Lagrange multipliers,
m*=me+m+2n
in order: equality constraints, inequality constraints, lower bounds,
upper bounds.
- SolveQPE returns an array with three elements:
- [0] n x 1 vector with solution x
- [1] me x 1 vector with Lagrange multipliers
- [2] p x 1 vector with index of redundant constraint (p=0 if all constraints were used)
- SolveQPS returns an array with four elements: the first three
as SolveQP, the fourth is the value of the objective function
f(x).
- Description
- SolveQP solves the quadratic program
min f(x)=x'Gx/2 + x'g, subject to:
Ax >= b,
Cx = d,
xlo <= x <= xhi.
using an active set method. If G is not positive definite, a small
number is added to its diagonal.
SolveQPE solves an equality-constrained problem using a null-space method.
SolveQPS solves a QP problem that is stored in a .qps file.
- Examples
-
See samples/maximize/solveqp1.ox.
Probability package
densbeta,
densbinomial,
denscauchy,
densexp,
densextremevalue,
densgamma,
densgeometric,
densgh,
densgig,
denshypergeometric,
densinvgaussian,
denskernel,
denslogarithmic,
denslogistic,
denslogn,
densmises,
densnegbin,
denspareto,
denspoisson,
densweibull,
#include <oxprob.h>
densbeta(const ma, const a, const b);
densbinomial(const ma, const n, const p);
denscauchy(const ma);
densexp(const ma, const lambda);
densextremevalue(const ma, const alpha, const beta);
densgamma(const ma, const dr, const da);
densgeometric(const ma, const p);
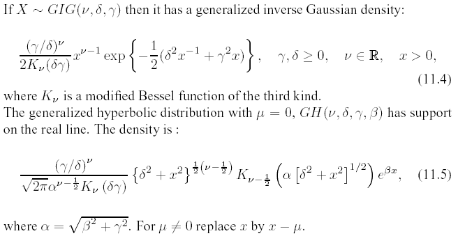
densgh(const ma, const nu, const delta, const gamma, const beta);
densgig(const ma, const nu, const delta, const gamma);
denshypergeometric(const ma, const n, const k, const m);
densinvgaussian(const ma, const mu, const lambda);
denskernel(const ma, const itype);
denslogarithmic(const ma, const alpha);
denslogistic(const ma, const alpha, const beta);
denslogn(const ma);
densmises(const ma, const mu, const kappa);
densnegbin(const ma, const k, const p);
denspareto(const ma, const k, const a);
denspoisson(const ma, const mu);
densweibull(const ma, const a, const b);
-
- ma
- in: arithmetic type
- a,b
- in: arithmetic type, arguments for Beta distribution
- dr
- in: arithmetic type
- da
- in: arithmetic type
- alpha,beta
- in: arithmetic type, location and scale parameter
- mu
- in: arithmetic type, von Mises: mean direction; Poisson: mean
- kappa
- in: arithmetic type, dispersion parameter
- Return value
- Returns the requested density at ma (the returned densities
are between positive):
The return type is derived as follows:
- m x n matrix, when ma is an m
x n matrix, and the rest is scalar;
- m x n matrix, when ma is a scalar,
and the rest are m x n matrices;
- m x n matrix, when ma is an m
x n matrix, and the rest are m x n
matrices;
- double, when ma is scalar, and the rest is also scalar (int
for denst).
- See also
- prob...,
quan...,
tail...
probbeta,
probbinomial,
probbvn,
probcauchy,
probexp,
probextremevalue,
probgamma,
probgeometric,
probhypergeometric,
probinvgaussian,
problogarithmic,
problogistic,
problogn,
probmises,
probmvn,
probnegbin,
probpareto,
probpoisson,
probweibull,
#include <oxprob.h>
probbeta(const ma, const a, const b);
probbinomial(const ma, const n, const p);
probbvn(const da, const db, const drho);
probcauchy(const ma);
probexp(const ma, const lambda);
probextremevalue(const ma, const alpha, const beta);
probgamma(const ma, const dr, const da);
probgeometric(const ma, const p);
probhypergeometric(const ma, const n, const k, const m);
probinvgaussian(const ma, const mu, const lambda);
problogarithmic(const ma, const alpha);
problogistic(const ma, const alpha, const beta);
problogn(const ma);
probmises(const ma, const mu, const kappa);
probmvn(const mx, const msigma);
probnegbin(const ma, const k, const p);
probpareto(const ma, const k, const a);
probpoisson(const ma, const mu);
probweibull(const ma, const a, const b);
-
- ma
- in: arithmetic type
- a,b
- in: arithmetic type, arguments for Beta distribution
- dr, da
- in: arithmetic type
- idf
- in: int, degrees of freedom
- mu
- in: arithmetic type, von Mises: mean location (use M_PI for
symmetric between 0 and 2pi); Poisson: mean
- kappa
- in: arithmetic type, dispersion parameter
- alpha,beta
- in: arithmetic type, location and scale parameter
- da, db
- in: arithmetic type, upper limits of integration
- drho
- in: arithmetic type, correlation coefficient
- mx
- in: m x n matrix for n-variate normal, with m upper limits
- msigma
- in: n x n variance matrix
- Return value
- Returns the requested cumulative distribution functions at ma
(P[X≤= x]; the returned probabilities
are between zero and one):
- probbeta: probabilities from Beta(a,b) distribution,
- probbinomial: probabilities from Bin(n,p) distribution,
- probbvn: probabilities from the bivariate normal distribution,
- probcauchy: probabilities from the Cauchy distribution,
- probexp: probabilities from the exp(lambda) distribution with mean 1 / lambda,
- probextremevalue: probabilities from the Extreme Value (type I or Gumbel) distribution,
- probgamma: probabilities from the Gamma distribution,
- probgeometric: probabilities from the Geometric distribution,
- probhypergeometric: probabilities from the Hypergeometric distribution,
- probinvgaussian: probabilities from the Inverse Gaussian distribution,
- problogarithmic: probabilities from the Logarithmic distribution,
- problogistic: probabilities from the Logistic distribution,
- problogn: probabilities from the Lognormal distribution,
- probmises: probabilities from the VM(mu, kappa) distribution (von Mises),
- probmvn: probabilities from the multivariate normal distribution (currently up to trivariate),
- probnegbin: probabilities from the Negative Binomial distribution,
- probpareto: probabilities from the Pareto distribution,
- probpoisson: probabilities from the Poisson mu distribution,
- probweibull: probabilities from the Weibull distribution.
The functional forms are listed under the density functions.
The probabilities are accurate to about 10 digits.
The return type for probbeta, probgamma, probmises,
probpoisson is derived as follows:
- m x n matrix, when ma is an m
x n matrix, and the rest is scalar;
- m x n matrix, when ma is a scalar,
and the rest are m x n matrices;
- m x n matrix, when ma is an m
x n matrix, and the rest are m x n
matrices;
- double, when ma is scalar, and the rest is also scalar (int
for probt).
The return type for probbvn is a double if all arguments are
scalar, or an m x n matrix if one or more arguments
are an m x n matrix.
The return type for probmvn is a double if m=1,
or an m x 1 vector if m>1, where m
is the number of rows of the first argument.
Note that the von Mises distribution runs from 0 to 2pi, with mean direction
mu (i.e. what tends to be written as VM(0,k) is VM(pi,k) here).
- See also
-
bessel,
betafunc,
gammafunc,
dens...,
quan...,
tail...
quanbeta,
quanbinomial,
quancauchy,
quanexp,
quanextremevalue,
quangamma,
quangeometric,
quanhypergeometric,
quaninvgaussian,
quanlogarithmic,
quanlogistic,
quanlogn,
quanmises,
quannegbin,
quanpareto,
quanpoisson,
quanweibull,
#include <oxprob.h>
quanbeta(const ma, const a, const b);
quanbinomial(const ma, const n, const p);
quancauchy(const ma);
quanexp(const ma, const lambda);
quanextremevalue(const ma, const alpha, const beta);
quangamma(const ma, const dr, const da);
quangeometric(const ma, const p);
quanhypergeometric(const ma, const n, const k, const m);
quaninvgaussian(const ma, const mu, const lambda);
quanlogarithmic(const ma, const alpha);
quanlogistic(const ma, const alpha, const beta);
quanlogn(const mx);
quanmises(const mp, const mu, const kappa);
quannegbin(const ma, const k, const p);
quanpareto(const ma, const k, const a);
quanpoisson(const ma, const mu);
quanweibull(const ma, const a, const b);
-
- ma
- in: arithmetic type, probabilities: all values must be between 0 and 1
- a,b
- in: arithmetic type, arguments for Beta distribution
- dr, da
- in: arithmetic type
- alpha,beta
- in: arithmetic type, location and scale parameter
- idf
- in: int, degrees of freedom
- kappa
- in: arithmetic type, dispersion parameter
- Return value
- Returns the requested quantiles (inverse probability function; percentage
points) at ma:
- quanbeta: quantiles from Beta(a,b) distribution,
- quanbinomial: quantiles from Bin(n,p) distribution,
- quancauchy: quantiles from the Cauchy distribution,
- quanexp: quantiles from the exp(lambda) distribution with mean 1 / lambda,
- quanextremevalue: quantiles from the Extreme Value (type I or Gumbel) distribution,
- quangamma: quantiles from the Gamma distribution,
- quangeometric: quantiles from the Geometric distribution,
- quanhypergeometric: quantiles from the Hypergeometric distribution,
- quaninvgaussian: quantiles from the Inverse Gaussian distribution,
- quanlogarithmic: quantiles from the Logarithmic distribution,
- quanlogistic: quantiles from the Logistic distribution,
- quanlogn: quantiles from the Lognormal distribution,
- quanmises: quantiles from the VM(mu, kappa) distribution (von Mises),
- quannegbin: quantiles from the Negative Binomial distribution,
- quanpareto: quantiles from the Pareto distribution,
- quanpoisson: quantiles from the Poisson mu distribution,
- quanweibull: quantiles from the Weibull distribution.
The functional forms are listed under the density functions.
The quantiles are accurate to about 10 digits.
The return type is derived as follows:
- m x n matrix, when ma is an m
x n matrix, and the rest is scalar;
- m x n matrix, when ma is a scalar,
and the rest are m x n matrices;
- m x n matrix, when ma is an m
x n matrix, and the rest are m x n
matrices;
- double, when ma is scalar, and the rest is also scalar.
- See also
- dens...,
prob...,
tail...
ranbeta,
ranbinomial,
ranbrownianmotion,
rancauchy,
ranchi,
randirichlet,
ranexp,
ranextremevalue,
ranf,
rangamma,
rangeometric,
rangh,
rangig,
ranhypergeometric,
ranindex,
raninvgaussian,
ranlogarithmic,
ranlogistic,
ranlogn,
ranmises,
ranmultinomial,
rannegbin,
ranpareto,
ranpoisson,
ranpoissonprocess,
ranshuffle,
ranstable,
ransubsample,
rant,
ranuorder,
ranwishart,
ranweibull
#include <oxprob.h>
ranbeta(const r, const c, const a, const b);
ranbinomial(const r, const c, const n, const p);
ranbrownianmotion(const r, const times);
rancauchy(const r, const c);
ranchi(const r, const c, const df);
randirichlet(const r, const valpha);
ranexp(const r, const c, const lambda);
ranextremevalue(const r, const c, const alpha, const beta);
ranf(const r, const c, const df1, const df2);
rangamma(const r, const c, const dr, const da);
rangeometric(const r, const c, const p);
rangh(const r, const c, const nu, const delta, const gamma,
const beta);
ranhypergeometric(const r, const c, const n, const k, const m);
rangig(const r, const c, const nu, const delta, const gamma);
ranindex(const c);
ranindex(const c, const n);
raninvgaussian(const r, const c, const mu, const lambda);
ranlogarithmic(const r, const c, const alpha);
ranlogistic(const r, const c);
ranlogn(const r, const c);
ranmises(const r, const c, const kappa);
ranmultinomial(const n, const vp);
rannegbin(const r, const c, const n, const p);
ranpareto(const r, const c, const k, const a);
ranpoisson(const r, const c, const mu);
ranpoissonprocess(const r, const times, const mu);
ranshuffle(const c, const x);
ranstable(const r, const c, const alpha, const beta);
ransubsample(const c, const n);
rant(const r, const c, const df);
ranuorder(const c);
ranweibull(const r, const c, const a, const b);
ranwishart(const n, const p);
-
- r
- in: int, number of rows
- c
- in: int, number of columns
- a,b
- in: double or rxc matrix, arguments for Beta distribution
- n
- in: int, number of trials
- p
- in: double, probability of success (rangeometric also allows or rxc matrix)
- vp
- in: column or row vector with c probabilities of success (must sum to one)
- lambda
- in: double or rxc matrix
- df
- in: double or rxc matrix, degrees of freedom
- df1
- in: double or rxc matrix, degrees of freedom in the numerator
- df2
- in: double or rxc matrix, degrees of freedom in the denominator
- dr
- in: double or rxc matrix
- da
- in: double or rxc matrix
- mu
- in: double or rxc matrix, mean
- kappa
- in: double or rxc matrix, dispersion parameter (mean direction is pi)
- alpha
- in: double or rxc matrix
- beta
- in: double or rxc matrix
- nu
- in: double, parameter for GH and GIG distributions
- valpha
- in: vector with c+1 shape parameters for Dirichlet distribution
- times
- in: column or row vector with c time points (must be non-decreasing)
- x
- in: column or row vector to sample from
- Return value
- The following return a r by c matrix of random numbers from the
selected distribution:
- ranbeta : Beta(a,b) distribution,
- ranbinomial: Binomial(n,p) distribution,
- ranbrownianmotion : r realizations of the Brownian motion,
with time steps specified by the vector times,
- rancauchy: equals rant(r, c, 1),
- ranchi : chi2(df) distribution,
- randirichlet : Dirichlet(\alpha1,...,\alphac+1) distributed random numbers
(each row is a realization of the c-variate random variable),
- ranexp : exp(\lambda) distribution with mean 1 / \lambda,
- ranextremevalue : Extreme Value (type I or Gumbel) distribution
- ranf : F(df1, df2) distribution,
- rangamma : Gamma(r,a) distribution,
- rangeometric: Geometric distribution,
- rangh: GH(nu,delta,gamma,beta) distribution,
- rangig: GIG(nu,delta,gamma) distribution,
- ranhypergeometric: Hypergeometric distribution,
- raninvgaussian : Inverse Gaussian(mu,lambda) distribution,
- ranlogarithmic : logarithmic distribution,
- ranlogistic : logistic distribution,
- ranlogn : log normal distribution,
- ranmises: VM(pi, kappa) distribution (von Mises),
- rannegbin: Negative binomial(n,p) distribution,
- ranpareto: Pareto(k,a) distribution,
- ranpoisson : Poisson(mu) distribution,
- ranpoissonprocess : r realizations of the Poisson process,
with time steps specified by the vector times,
- ranstable : S(alpha,beta) distribution,
- rant : Student t(df) distribution, degrees of freedom need not be integer,
- ranweibull: Weibull distribution.
- ranwishart : Wishart(n, Ip) distributed random drawing, returns an p x p matrix.
The functional forms are listed under the density functions.
The matrix is filled by row. Note that, if both r
and c are 1, the return value is a scalar of type double!
The following return a 1 by c matrix of random numbers from the
selected distribution:
- ranindex(c): draws c numbers from 0,...,c-1 without replacement,
- ranindex(c,n): draws c numbers from 0,...,n-1 without replacement
(this is the same as ranshuffle(c, range(0,n-1))),
- ranmultinomial: Multinomial(n,p1,...,pc) distribution,
- ranshuffle: draws c elements from x without replacement,
- ransubsample: draws c numbers from the integers 0,...,n-1 without replacement,
returning the ordered numbers (the return value is sorted, so ransubsample(n,n) just returns 0,...,n-1),
- ranuorder: generates c uniform order statistics.
The von Mises is generated between 0 and 2pi, with mean direction pi,
corresponding to probmises(.,M_PI,kappa).
To use a different mean:
y = fmod(ranmises(r, c, kappa) + mu, M_2PI);
M_PI and M_2PI require oxfloat.h.
- See also
- rann,
ranseed,
ranu
QuadPack
QuadPack is a Fortran library for univariate numerical integration
(`quadrature') using adaptive rules. The main driver functions are exported to Ox
from a dynamic link library, using the header file
quadpack.h.
Full documentation is in Piessens et al. (1983),
QUADPACK, A Subroutine Package for Automatic Integration,
Springer-Verlag.
QAG,
QAGI,
QAGP,
QAGS,
QNG
#include <quadpack.h>
QNG (const func, const a, const b, const aresult,
const aabserr);
QAG (const func, const a, const b, const key,
const aresult, const aabserr);
QAGS(const func, const a, const b, const aresult,
const aabserr);
QAGP(const func, const a, const b, const vpoints,
const aresult, const aabserr);
QAGI(const func, const bound, const inf, const aresult,
const aabserr);
-
- func
- in: function to integrate;
func must be a function of one
argument (a double), returning a double
- a
- in: double, lower limit of integration
- b
- in: double, upper limit of integration
- key
- in: int, key for choice of local integration rule, which
determines the number of points in the Gauss-Kronrod
pair: 1 or less (7-15 points), 2 (10-21 points),
3 (15-31 points), 4 (20-41 points),
5 (25-51 points), 6 or more (30-61 points).
- vpoints
- in: row vector with singularities of integrand
- bound
- in: double, lower bound (inf == 1) or upper bound (inf == -1)
- inf
- in: int, 1: integral from b to infinity, -1: integral from minus infinity to b,
2: integral from minus infinity to infinity
- aresult
- in: address of variable
- out: double, approximation to the integral
- aabserr
- in: address of variable
- out: double, estimate of the modulus of the absolute error
- Return value
- Result of the QuadPack routine:
- 0: normal and reliable termination of routine;
- 1: maximum number of steps has been executed;
- 2: roundoff error prevents reaching the desired tolerance;
- 3: extremely bad integrand behaviour prevents reaching tolerance;
- 4: algorithm does not converge;
- 5: integral is probably convergent or slowly divergent;
- 6: invalid input;
- 10: not enough memory;
An error message greater than 0 is reported unless switched off with QPWARN.
- Description
-
QNG: simple non-adaptive automatic integrator for a smooth integrand.
-
QAG: simple globally adaptive Gauss-Kronrod-based integrator, with
choice of formulae.
-
QAGS: globally adaptive integrator with extrapolation, which can handle
integrand singularities of several types.
-
QAGP: as QAGS, but allows the user to specify singularities,
discontinuities and other difficulties of the integrand.
-
QAGI: as QAGS, but handles integration over infinite integrals.
QAWO,
QAWF,
QAWS,
QAWC
#include <quadpack.h>
QAWO(const func, const a, const b, const omega, const fcos,
const maxp1, const aresult, const aabserr);
QAWF(const func, const a, const omega, const fcos, const limlst,
const maxp1, const aresult, const aabserr);
QAWS(const func, const a, const b, const alpha, const beta,
const type, const aresult, const aabserr);
QAWC(const func, const a, const b, const c, const aresult,
const aabserr);
-
- func
- in: function to integrate;
func must be a function of one
argument (a double), returning a double
- a
- in: double, lower limit of integration
- b
- in: double, upper limit of integration
- omega
- in: double, factor in cosine or sine function
- fcos
- in: int, 1: function to integrate is cos(omega*x)*f(x), else
it is sin(omega*x)*f(x)
- maxp1
- in: int, upper bound on the number of Chebyshev
moments which can be stored.
- limlst
- in: int, upper bound on the number of cycles (must be >= 3).
- alpha,beta
- in: double, powers in w(x), both >-1.
- itype
- in: int, 1: v(x)=1; 2: v(x)=log(x-a); 3: v(x)=log(b-x); 4: v(x)=log(x-a)*log(b-x).
- c
- in: double, term for Cauchy principal value (!= a and != b).
- aresult
- in: address of variable
- out: double, approximation to the integral
- aabserr
- in: address of variable
- out: double, estimate of the modulus of the absolute error
- Return value
- Result of the QuadPack routine:
- 0: normal and reliable termination of routine;
- 1: maximum number of steps has been executed;
- 2: roundoff error prevents reaching the desired tolerance;
- 3: extremely bad integrand behaviour prevents reaching tolerance;
- 4: algorithm does not converge;
- 5: integral is probably convergent or slowly divergent;
- 6: invalid input;
- 10: not enough memory;
An error message greater than 0 is reported unless switched off with QPWARN.
- Description
-
QAWO: integrates cos(omega*x)*f(x)
or sin(omega*x)*f(x) over a finite interval (a,b).
-
QAWF: Fourier cosine or Fourier sine transform of f(x),
from a to infinity. (QAWF returns error 6 if
epsabs is zero, use QPEPS to change the value of epsabs.)
-
QAWS: integrates w(x)*f(x) over a finite interval (a,b),
where w(x) = [(x-a)^alpha]*[(b-x)^beta]*v(x), and
v(x) depends on the itype argument.
-
QAWC: Cauchy principal value of f(x)/(x-c)
over a finite interval (a,b) and for user-determined c.
QPEPS,
QPWARN
#include <quadpack.h>
QPEPS(const epsabs, const epsrel);
QPWARN(const ion);
-
- epsabs
- in: double, absolute accuracy requested (the default value is 0)
- epsrel
- in: double, relative accuracy requested (the default value is 1e-10)
- ion
- in: int, 1: print warning and error messages (the default), or 0: don't print
- No return
- Description
-
QPEPS: sets the accuracy for all QuadPack functions.
-
QPWARN: controls whether warning/error messages are printed or not.
Ox version 10.0.
©
JA Doornik
This file last changed .